01. Long Question Answers: Number System

Q1.Simplify the following expressions:

(i) (4 + √7) (3 + √2)
(ii) (√5 – √3)2
(iii) (√5 -2)( √3 – √5)

Sol. 

(i) (4 + √7) (3 + √2)

= 12 + 4√2 + 3√7 + √14

(ii)  (√5 – √3)2

= (√5)2 + (√3)– 2(√5)( √3)
= 5 + 3 – 2√15
= 8 – 2√15

(iii)
 (√5 -2)( √3 – √5)
= √15 – √25 – 2√3 + 2√5
= √15 – 5 – 2√3 + 2√5

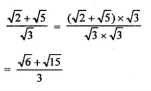
Q2. Rationalise the denominator: (√2 + √5)/ √3

Sol. Multiply both the numerator and denominator with the same number to rationalise the denominator.
Long Question Answers: Number System

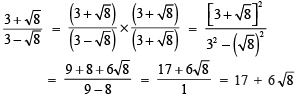
Q3. If ‘a’ and ‘b’ are rational numbers andLong Question Answers: Number System,
then find the value of ‘a’ and ‘b’.

Sol.Rationalizing the fraction, we get

Long Question Answers: Number System

Now  Long Question Answers: Number System

Equating a and b both sides
⇒ a + b√8 = 17 +6√8
⇒ a = 17and b = 6

Q4:Find five rational numbers between 3/5 and 4/5.

Sol:We have to find five rational numbers between 3/5 and 4/5.

So, let us write the given numbers by multiplying with 6/6, (here 6 = 5 + 1)

Now,

3/5 = (3/5) × (6/6) = 18/30

4/5 = (4/5) × (6/6) = 24/30

Thus, the required five rational numbers will be: 19/30, 20/30, 21/30, 22/30, 23/30

Q5: Show that 0.3333…=0.3¯can be expressed in the formp/q,where p and q are integers and q≠0.

Sol:

Let x = 0.3333…. 

Multiply with 10,

10x = 3.3333…

Now, 3.3333… = 3 + x (as we assumed x = 0.3333…)

Thus, 10x = 3 + x

10x – x = 3

9x = 3

x = 1/3

Therefore, 0.3333… = 1/3. Here, 1/3 is in the form of p/q and q ≠ 0.

Scroll to Top