7. Proportional Reasoning-1 Chapter Notes
Introduction to Proportional Reasoning Observing Similarity in Change Understanding Ratios Proportional Ratios (in simplest form): Non-Proportional: If different ratios simplify […]
Introduction to Proportional Reasoning Observing Similarity in Change Understanding Ratios Proportional Ratios (in simplest form): Non-Proportional: If different ratios simplify […]
Introduction You’re making a birthday card and adding a cute photo of a tiger. You try resizing it on your
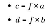
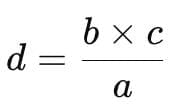
Introduction What Have We Learned So Far? We’ve already seen that algebra uses letter symbols (like x, a, b, etc.) to: Algebra isn’t just
Is This a Multiple Of? Sum of Consecutive Numbers Anshu is curious about writing numbers as the sum of consecutive
Introduction In this chapter, we dive into the fascinating world of four-sided figures, known as quadrilaterals. The term “quadrilateral” comes from the
Reema’s Curiosity Reema’s eyes lit up, “Seriously? These strange symbols were numbers?” Her curiosity was sparked, and questions started swirling
Experiencing the Power Play … An Impossible Venture! Imagine you have a big sheet of paper. What happens if you
Introduction Queen Ratnamanjuri had a vast treasure of precious stones. Before passing away, she wrote a will, but instead of