14 Area NCERT Solutions
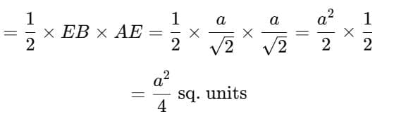
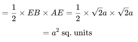
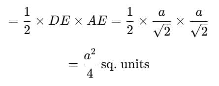
NCERT Solutions: Area Page No. 148 Math Talk Q: Try to think of different creative ways to divide a square […]
NCERT Solutions: Area Page No. 148 Math Talk Q: Try to think of different creative ways to divide a square […]
NCERT Solutions: Algebra Play Page No. 136 Q: How would you change this game to make the final answer 3?
NCERT Solutions: Tales by Dots and Lines Page No. 103 Q: Calculate and mark the mean of each collection of
NCERT Solutions: Exploring Some Geometric Themes Page No. 72 Figure it Out Q: Draw the initial few steps (at least
NCERT Solutions: Proportional Reasoning – 2 Page No. 60Figure it Out Q1: A cricket coach schedules practice sessions that include
NCERT Solutions: The BAUDHĀYANA- Pythagoras Theorem Page No. 39 Figure it Out Q1: Earlier, we saw a method to create
Page 142 Q1. Observe the multiplication grid below. Each number inside the grid is formed by multiplying two numbers. If
Page 122 Figure it Out Q1. The sum of four consecutive numbers is 34. What are these numbers?Ans: Let four consecutive
Page 94 Q1. Find all the other angles inside the following rectangles. Ans:(i) ∠1 + ∠9 = 90° ……… (All
Page 142 Q1. Observe the multiplication grid below. Each number inside the grid is formed by multiplying two numbers. If