13. Previous Year Questions: Our Environment
Previous Year Questions 2025 Q1: Which of the following groups do not constitute a food chain? (1 Mark)(i) Wolf, rabbit, […]
Previous Year Questions 2025 Q1: Which of the following groups do not constitute a food chain? (1 Mark)(i) Wolf, rabbit, […]
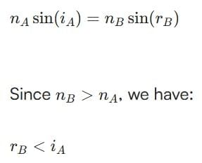
Previous Year Questions 2025 Q1: Two statements are given – one labelled as Assertion (A) and the other labelled as Reason
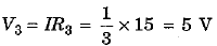
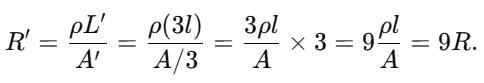
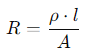
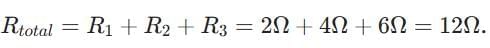
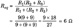
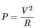
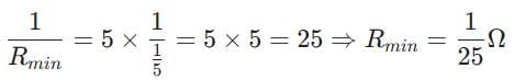
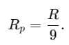
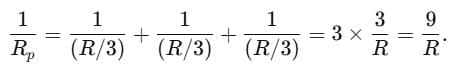
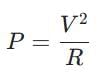
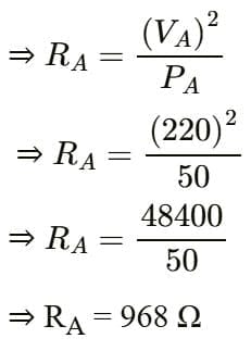
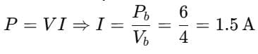
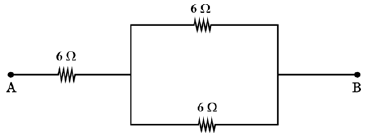
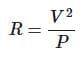
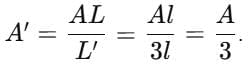
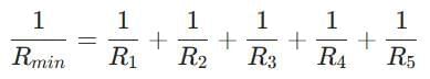
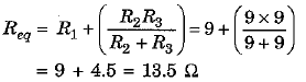
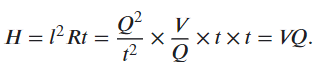
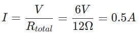
Previous Year Questions 2025 Q1: A wire of resistance R is cut into three equal parts. If these three parts are
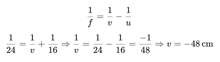
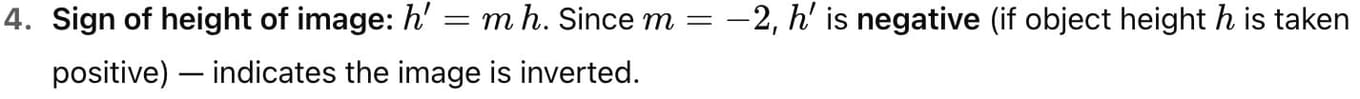
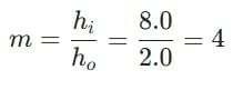
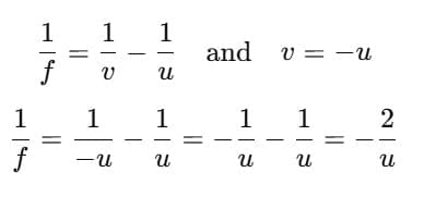
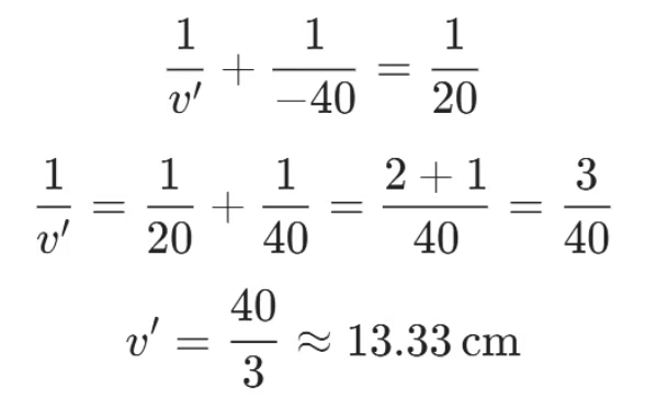
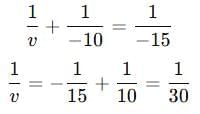
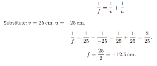
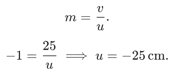
Previous Year Questions 2025 Q1: An old person is suffering from an eye defect caused by weakening of ciliary muscles and
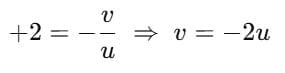
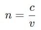
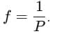
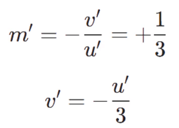
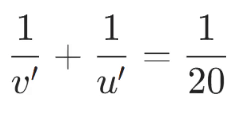
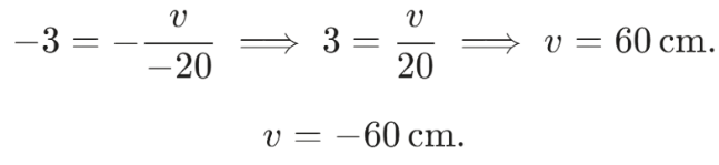
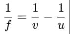
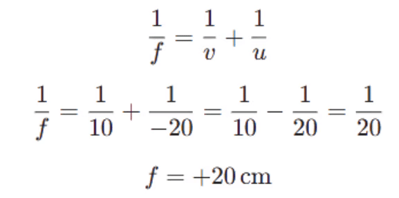
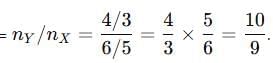
Previous Year Questions 2025 Q1: Mirror ‘X’ is used to concentrate sunlight in a solar furnace, and Mirror ‘Y’ is
Previous Year Questions 2025 Q1: If pea plants with round and green seeds (RRyy) are crossed with pea plants having wrinkled
Previous Year Questions 2025 Q1: The correct/true statement(s) for a bisexual flower is/are: (1 Mark)(i) They possess both stamen and
Previous Year Questions 2025 Q1: The plant hormone whose concentration stimulates the cells to grow longer on the side of the
Previous Year Questions 2025 Q1: Secretion of less saliva in mouth will affect the conversion of: (1 Mark)(a) Proteins into amino acids(b) Fats
Previous Year Questions 2020 Q1: Several factories were pouring their wastes in rivers A and B. Water samples were collected